Abstract
Abstract: Aplastic Anemia (AA) is a syndrome characterized by peripheral blood pancytopenia and bone marrow hypo-cellularity. Acquired AA is considered to have an underlying autoimmune etiology. Hematopoietic stem cell transplantation (HSCT) still remains the treatment of choice for AA patients. However, due to cost restrictions, cyclosporine A has been tried in resource poor setting as a single agent.
Aim: The aim of this study is to observe the single agent Cyclosporine treatment response in AA patients.
Materials and Methods: The following study is a retrospective study. Patients diagnosed for the first time between January 2010 and December 2020, aged 14 years old and up, treated with cyclosporine A and supportive therapy, were included in this study. Statistical analysis for this study was performed using SPSS.
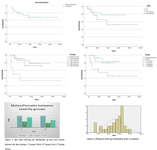
All subjects were started on 5mg/kg per day of cyclosporine. The patients were divided into three groups according to the IAASG classification criteria (Non severe AA, Severe AA and Very severe AA). Another subgroup analysis related to sex (females to males) and age was performed, classifying the patients into three subgroups (14-29; 30-59; 60+ years old).
Overall Survival (OS) was evaluated using Kaplan-Meier method with Log-Rank test. Overall survival (OS) was defined as the duration from the first day of treatment to all-cause death. T-test and Chi-square test were used for categorical and continuous parameters analysis. P value lower than 0.05 was considered statistically significant.
Results: A total of 35 patients were diagnosed as Acquired Aplastic Anemia between 2010-2020. The median age at diagnosis was 51 years old. The incidence of Aplastic Anemia in Albania is 1.35 per million inhabitants. 5 patients (19.2%) developed complete response. NSAA showed the best treatment response (38.5%). The relation between the treatment response at the end of the first year of cyclosporine treatment and the 5-year survival was statistically significant, Pearsons' correlation coefficient 0.441 (P=0.035).
The estimated mean survival time of AA patients in our study is 68.6 months. When compared the survival to the severity, the SAA group showed a better OS (53 months) (P=0.081). The 5-year cumulative survival of the patients resulted 71.9%. VSAA group had the worst estimated survival (45.5%). The youngest age group showed the worst 5-year survival on cyclosporine alone (33.3%) (P=0.016). The subgroup analysis between males and females resulted in women having a slightly better survival than men, 59 and 58 months respectively (P=0.276). Those patients who failed the treatment with cyclosporine alone at the end of the first year, showed the worse 5-year survival (50%).
Conclusions: This study emphasizes once again the importance of the IAASG classification on AA patients' prognosis and treatment outcome. The youngest patients should be considered for HSCT rather than be treated on cyclosporine alone. Treatment on cyclosporine alone and supportive therapy is a reasonable option for older patients in poor resource countries as Albania.
Abbreviations: AA- Aplastic Anemia, NSAA- Non severe aplastic anemia, SAA- Severe aplastic anemia, VSAA- Very severe aplastic anemia, HSCT- Hematopoietic stem cell transplantation, IAASG-International Aplastic Anemia Study Group, SPSS-Statistical Package for the Social Sciences.
No relevant conflicts of interest to declare.

This feature is available to Subscribers Only
Sign In or Create an Account Close Modal